Vorherige Seite
Eine Seite weiter
Vorschau / übersicht

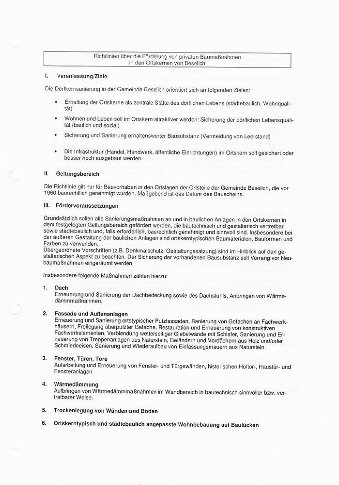
Im Zuge der Einführung der gesplitteten Abwassergebühr beantragte die SPD Fraktion, in die "Richtlinie über die Förderung von privaten Baumaßnahmen in den Ortskernen von Beselich" künftig auch Maßnahmen zur Entsiegelung von Flächen zu fördern. Damit werden künftig diese mit bis zu 20% der förderfähigen Kosten mit einem maximalen Betrag von 20.000 €, bei einer Mindestinvestitionssumme von 20.000 € gefördert. Informationen zur den genauen Regularien wie zu den anderen Förderungsfähigen Kriteren erhalten Sie bei der Gemeindeverwaltung unter Tel. 06484-91230 oder unter www.beselich.de.
| Besucher: | 206768 |
| Heute: | 161 |
| Online: | 8 |